每天睡7小时,死亡风险最低
在家睡觉,确实是不少人欢度假期的第一选择。毕竟,人的一生中接近三分之一的时间都用来睡觉了。大家从小睡到大,从童年、青年、成年到暮年,直至一觉不醒。

睡觉是件大事,那睡多久才是好呢?
大家说每天8小时睡眠最好
如果问身边的小伙伴,每天睡多久最好?很多人会脱口而出8小时。“每天睡满8小时,才是优质的睡眠”,这种观念深入人心。
为何会出现这种说法?8小时睡眠的起源可能与8小时工作制有关。
《资本论》曾提及,当年工人每天工作10-11小时,没有双休日,过度疲劳导致工作事故不断。当年,工人提出了“8小时工作、8小时休闲、8小时睡眠”的口号,艰苦斗争了数十年,成功争取到8小时工作制,8小时睡眠或许起源于此。经过长时间地重复传播,8小时睡眠论也越来越根深蒂固。
,科学上并不认可8小时睡眠。前英国睡眠协会会长尼克·利特尔黑尔斯的《睡眠革命》一书中也曾指出盲目追求8小时睡眠其实不是一件好事。[1]
既然8小时睡眠不靠谱,睡几个小时才是最好的?小伙伴们众说纷纭。
一方表示,“生前何必多睡,死后自会长眠,每天睡得越少越好!”
另一方表示,“除了睡觉不困,其他时间都困,每天睡得越多越好!”
到底睡多久最好?下面的研究或许可以解答。
JAMA Netork Open每天睡7小时,死亡风险最低

2021年9月3日,在JAMA子刊JAMA Netork Open发布了一项关于睡眠时间与死亡率之间的研究。
图源doi10.1001/jamaorkopen.2021.22837

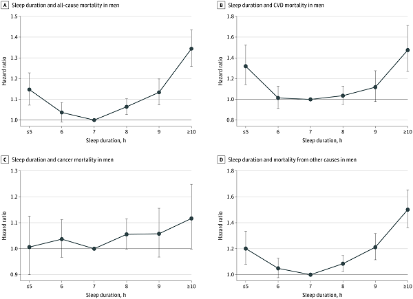
此研究涉及了来自中国、日本、韩国及新加坡的322721名参与者,平均年龄54.5岁。男性平均随访时间为14年,女性平均随访时间为13.4年。随访期间,男性有19419人死亡,女性有13768人死亡。根据睡眠时长分为6组≤5小时、6小时、7小时、8小时、9小时、≥10小时,以7小时组为参考值。
男性睡眠时长与死亡风险之间的关联A为全因死亡风险,B为心血管疾病死亡风险,C为癌症死亡风险,D为其他疾病死亡风险。

图源doi10.1001/jamaorkopen.2021.22837
女性睡眠时长与死亡风险之间的关联A为全因死亡风险,B为心血管疾病死亡风险,C为癌症死亡风险,D为其他疾病死亡风险。
图源doi10.1001/jamaorkopen.2021.22837
从上面表格可看出,男性和女性睡眠时长7小时,全因死亡风险最低,心血管疾病死亡风险和其他疾病死亡风险也处于低点。每天睡眠超过10小时,男性和女性死亡风险最高。简单来说,无论男女,处于7小时睡眠时长时,全因死亡率、心血管死亡率和其他原因死亡率均处于最低点。[2]
数据清晰而确凿!看来,从降低死亡风险的角度来说,每天睡7小时是不错的选择。